1 소개

TI-Nspire CX CAS 계산기는 단순한 사칙연산 연산 외에도 행렬 연산이나 미분, 적분, 삼각함수 등 공학에서 사용하는 대부분의 연산을 수행할 수 있는 강력한 공학용 계산기이다. TI-Nspire를 잘 활용한다면 MATLAB이나 기타 수학 소프트웨어 못지않은 강력한 기능을 사용할 수 있다.
안에는 거의 모든 수학에 대한 기능들과, 제어공학, 확률과 통계, 벡터, 행렬, 대수, 삼각함수, 미분과 적분, 경제수학 관련 함수 등등 엄청나게 많은 함수들이 내장되어 있다. 필요하다면 프로그래밍을 통해 새로운 기능을 이식할 수 있다. 해외 커뮤니티에서는 유저들이 직접 프로그래밍한 다양한 스크립트들을 공유하는 사이트 또한 존재한다.
2 기본 명령어
기본적인 단축키는 윈도우 단축키와 유사하다.
- ctrl + a: 전체 선택
- ctrl + c: 복사
- ctrl + x: 잘라내기
- ctrl + v: 붙여넣기
- ctrl + s: 저장
- ctrl + z: 작업 취소
다음은 많은 연산으로 스크롤이 길게 쌓였을 경우 빠른 탐색을 위한 단축키이다.
- ctrl + 7: 맨 위로 이동합니다
- ctrl + 1: 맨 아래로 이동합니다
- ctrl + 9: 빠르게 위로 이동합니다.
- ctrl + 3: 빠르게 아래로 이동합니다
3 MyLib 폴더 사용하는 방법
원래 .tns 파일에 있는 유저들이 구현한 함수는 그 .tns파일에서만 사용할 수 있고 다른곳에서는 사용이 불가능하다. 하지만 MyLib 폴더에 .tns 파일을 넣으면 그 안에 있는 함수를 아무곳에서나 사용할 수 있다. 사용방법은 다음과 같다.
- 다음과 같이 최상위 경로에서 MyLib 폴더를 만들고 그 안에 원하는 .tns 파일을 넣는다.

- 아무 곳에서 doc 버튼을 누르고 Refresh Library 버튼을 클릭한다. 이를 통해 MyLib 폴더 안에 있는 함수를 사용할 수 있다.

- Refresh Library 버튼을 누른 후 아래 그림에서 책 버튼을 클릭한다.

- 책 버튼을 클릭하면 다음 그림과 같이 {filename}.tns 내부의 함수가 인식된다.

- 사용하고자 하는 함수들을 클릭하여 사용한다.

4 다양한 기능들
4.1 Vector
- crossP(): 두 벡터를 외적한다.

- dotP(): 두 벡터를 내적한다.

- unitV(): 벡터의 단위벡터를 구한다.

4.2 Polynomial
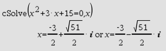
- cSolve(): 다항식의 해를 구한다. cSolve()는 복소수해까지 구할 수 있다.

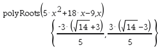
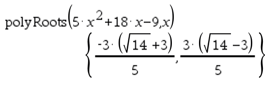
- polyRoots(): 다항식의 실수 해를 구한다.

- expand(): 다항식을 전개한다.

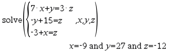
- solve(): 연립방정식의 해를 구한다.

4.3 Trigonometric function
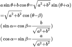
- tCollect(5cos5x + 200sin5x): 아래 공식처럼 두 삼각함수를 합성한다.
- tExpand(200.062sin(5x + 1.43)): 아래 공식의 역순으로 삼각함수를 분해한다.

4.4 Calculus
- 함수를 부정적분한다.

- 함수를 정적분한다. 적분 연산자는 Shift + '+' 단축키를 통해 바로 사용할 수 있다.

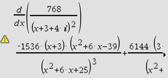
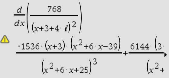
- 복소수를 미분한다. 복소수는 미분 후 자동으로 전개된다. 미분 연산자는 Shift + '-' 단축키를 통해 바로 사용할 수 있다.

- factor(): 미분 후 전개하지 않고 인수분해한 상태로 표시한다.

4.5 Limitation
- lim(): 함수에 극한을 취한 값을 구한다.

4.6 Matrix
- 행렬에 임의로 행과 열을 추가하고 싶은 경우 carriage return 키를 사용하면 된다. 행렬에 커서를 올려놓은 상태에서 carriage return 키를 누르면 행(row)가 추가되고 shift + carriage return 키를 누르면 열(col)이 추가된다.
- 행과 열을 삭제하고 싶은 경우 shift + 방향키 로 해당 행 또는 열을 선택하고 backspace(del) 버튼을 누르면 삭제된다.

- 역행렬을 구한 후 행렬 곱을 수행한다.

- eigVl(), eigVc(): 행렬의 고유값과 고유벡터를 구한다.

- LU: 행렬을 LU 분해한다.


4.7 Statistics
- 데이터를 아래 그림과 같이 변수에 저장한다.

- OneVar samp1, 1: stat.results: samp1의 기초통계량을 확인한다. 평균,분산,표준편차,표본수,최소값,최대값 등을 확인한다.


- tInterval samp1, 1, 0.95: stat.results: samp1을 95% 신뢰구간으로 t분포를 이용해 평균을 확인한다.

이외에도 다양한 통계분석 기능을 제공한다.
- binomCdf(10,0.5,0,5) : 이산 이항분포에 대한 누적 확률 계산
- binomPdf(10,0.5) : 이산 이항분포에 대한 확률 계산
- poissCdf(25,0,25) : 이산 포아송 분포의 누적 확률 계산
- poissPdf(25,25) : 이산 포아송 분포의 확률 계산
- normCdf(-∞,1.96,0,1) : 지정 범위 사이에서 정규 분포 확률 계산
- normPdf(1.96,0,1) : 지정 값에서 정규 분포에 대한 확률 밀도 함수 계산
- tTest 20,samp1,1,0: stat.results : t테스트 수행
- tTest_2Samp samp1,samp2,1,1,0,0: stat.results : 2표본 t테스트 수행
- tCdf(-∞,1.96,9): Student-t 분포 확률 계산
- tPdf(1.96,9) : Student-t 분포에 대한 확률 밀도 함수 계산
- zTest 20,2.09,samp1,1,0: stat.results : z테스트 수행
- zTest_1Prop 0.5,1,8,0: stat.results : 1비율 z테스트 수행
- zInterval 2.09,samp1,1,0.95: stat.results : z신뢰구간 계산
- chi2Cdf(0,10,9) : chi-square 분포 확률 계산
- chi2GOF : chi-square 표본 데이터가 지정된 분포와 일치하는 모집단으로부터 온 것인지를 확인하는 테스트 수행
- chi2Pdf(10,9) : chi-square 분포에 대한 확률 밀도 함수 계산
- chi22way samp4: stat.results : chi-square 테스트 수행
- ANOVA samp1,samp2,samp3: stat.results : One way ANOVA 일원분산분석 수행
- ANOVA2way samp1,samp2,stat.df: stat.results : Two way ANOVA 이원분산분석 수행
5 참조
'Software' 카테고리의 다른 글
| tmux 다중터미널 프로그램 사용법 설명 및 환경설정 (0) | 2022.01.06 |
|---|---|
| Emacs 에디터 사용법 설명 및 C++/Python 개발환경설정 (0) | 2022.01.06 |
| Vim 에디터 사용법 설명 및 C++/Python 개발환경설정 (0) | 2022.01.06 |
| cmake 사용법 및 다양한 옵션 정리 (0) | 2022.01.06 |
| x11vnc 원격 접속 서버 설치 및 사용법 정리 (0) | 2022.01.04 |